Показатели вариации
Поможем написать любую работу на аналогичную тему
Получить выполненную работу или консультацию специалиста по вашему учебному проекту
Узнать стоимостьПоказатели вариации. При изучении варьирующего признака у единиц совокупности нельзя ограничиваться лишь расчетом средней величины из отдельных вариантов, так как одна и та же средняя может относиться далеко не к одинаковым по составу совокупностям.
Вариацией признака называется различие индивидуальных значений признака внутри изучаемой совокупности.
Термин «вариация» произошел от латинского variatio – изменение, колеблемость, различие. Однако не всякие различия принято называть вариацией.
Под вариацией в статистике понимают такие количественные изменения величины исследуемого признака в пределах однородной совокупности, которые обусловлены перекрещивающимся влиянием действия различных факторов. Колеблемость отдельных значений характеризуют показатели вариации. Чем больше вариация, тем дальше в среднем отдельные значения лежат друг от друга.
Различают вариацию признака в абсолютных и относительных величинах.
К абсолютным показателям относятся: размах вариации, среднее линейное отклонение, среднее квадратическое отклонение, дисперсия. Все абсолютные показатели имеют ту же размерность, что и изучаемые величины.
К относительным показателям относятся коэффициенты осцилляции, линейного отклонения и вариации.
Показатели абсолютные. Рассчитаем абсолютные показатели, характеризующие вариацию признака.
Размах вариации, представляет собой разность между максимальным и минимальным значением признака.
Показатель размаха вариации не всегда применим, так как он учитывает только крайние значения признака, которые могут сильно отличаться от всех других единиц.
Более точно можно определить вариацию в ряду при помощи показателей, учитывающих отклонения всех вариантов от средней арифметической.
Таких показателей в статистике два: среднее линейное и среднее квадратическое отклонение.
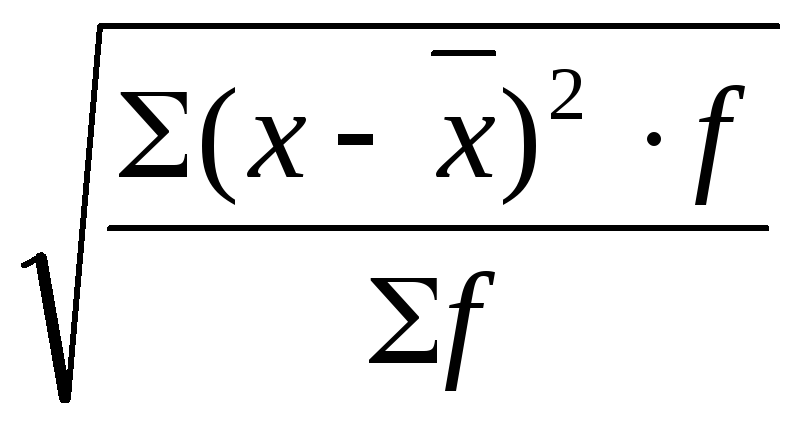
Среднее линейное отклонение (L) представляет собой среднее арифметическое из абсолютных значений отклонений отдельных вариантов от средней.
| (6.2) |
| (6.3) |
Практическое использование среднего линейного отклонения заключается в следующем, с помощью этого показателя анализируется состав работающих, ритмичность производства, равномерность поставок материалов.
Недостаток этого показателя заключается в том, что он усложняет расчеты вероятного типа, затрудняет применение методов математической статистики.
Среднее квадратическое отклонение (
) является наиболее распространенным и общепринятым показателем вариации. Оно несколько больше среднего линейного отклонения. Для умеренно асимметричных распределений установлено следующее соотношение между ними
| (6.4) |
Все эти действия выражает следующая формула
| (6.5) |
| (6.6) |
т.е. среднее квадратическое отклонение представляет собой корень квадратный из средней арифметической квадратов отклонений от средней.
Среднее квадратическое отклонение является мерилом надежности средней. Чем меньше σ, тем лучше среднее арифметическое отражает собой всю представляемую совокупность.
Средняя арифметическая из квадратов отклонений вариантов значений признака от средней величины носит название дисперсии (
), которая рассчитывается по формулам
| (6.7) |
| (6.8) |
Отличительной особенностью данного показатели является то, что при возведении в квадрат (
Дисперсия обладает рядом свойств, некоторые из них позволяют упростить её вычисление:
1. Дисперсия постоянной величины равна 0.
Если
, то и
.
Тогда
.
2. Если все варианты значений признака (x) уменьшить на одно и то же число, то дисперсия не уменьшится.
Пусть
, но тогда в соответствии со свойствами средней арифметической и
.
Дисперсия в новом ряду будет равна
, т.е. дисперсия в ряду
равна дисперсии первоначального ряда
.
3. Если все варианты значений признака уменьшить в одно и то же число раз (k раз), то дисперсия уменьшится в k2 раз.
Пусть
, тогда и
.
Дисперсия же нового ряда
будет равна

4. Дисперсия, рассчитанная по отношению к средней арифметической, является минимальной. Средний квадрат отклонений, рассчитанный относительно произвольного числа 
, т.е.
. Дисперсия от средней имеет свойство минимальности, т.е. она всегда меньше дисперсий, исчисленных от любых других величин. В этом случае, когда
приравниваем к 0 и , следовательно, не вычисляем отклонения, формула принимает такой вид:
| (6.9) |
Выше был рассмотрен расчет показателей вариации для количественных признаков, но в экономических расчетах может ставиться задача оценки вариации качественных признаков. Например, при изучении качества изготовленной продукции, продукцию можно разделить на качественную и бракованную.
В таком случае речь идет об альтернативных признаках.
Альтернативными признаками называются такие, которыми одни единицы совокупности обладают, а другие нет. Например, наличие производственного стажа у абитуриентов, ученая степень у преподавателей ВУЗов и т.д. Наличие признака у единиц совокупности условно обозначаем через 1, а отсутствие – 0. Тогда, если долю единиц, обладающих признаком (в общей численности единиц совокупности), обозначить через р, а долю единиц, не обладающих признаком, через q, дисперсию альтернативного признака можно рассчитать по общему правилу. При этом p + q = 1 и, значит, q = 1– p.
Сначала рассчитываем среднее значение альтернативного признака:
Рассчитаем среднее значение альтернативного признака
,
т.е. среднее значение альтернативного признака равно доле единиц, обладающих данным признаком.
Дисперсия же альтернативного признака будет равна:

Таким образом, дисперсия альтернативного признака равняется произведению доли единиц, обладающих данным признаком, на долю единиц, не обладающих данным признаком.
А среднее квадратическое отклонение будет равно
=
.
Показатели относительные. Для целей сравнения колеблемости различных признаков в одной и той же совокупности или же при сравнении колеблемости одного и того же признака в нескольких совокупностях представляют интерес показатели вариации, выраженные в относительных величинах. Базой для сравнения служит средняя арифметическая. Эти показатели вычисляются как отношение размаха вариации, среднего линейного отклонения или среднего квадратического отклонения к средней арифметической или медиане.
Чаще всего они выражаются в процентах и определяют не только сравнительную оценку вариации, но и дают характеристику однородности совокупности. Совокупность считается однородной, если коэффициент вариации не превышает 33%. Различают следующие относительные показатели вариации:
1. Коэффициент осцилляции отражает относительную колеблемость крайних значений признака вокруг средней.
| (6.10) |
2. Относительное линейное отклонение характеризует долю усредненного значения абсолютных отношений от средней величины.
| (6.11) |
3. Коэффициент вариации оценивает типичность средних величин.
| (6.12) |
Чем меньше
, тем однороднее совокупность по изучаемому признаку и типичнее средняя. Если
≤33%, то распределение близко к нормальному, а совокупность считается однородной. Из приведенного примера вторая совокупность однородна.
Виды дисперсий и правило сложения дисперсий. Наряду с изучением вариации признака по всей совокупности в целом часто бывает необходимо проследить количественные изменения признака по группам, на которые разделяется совокупность, а также и между группами. Такое изучение вариации достигается посредством вычисления и анализа различных видов дисперсии.
При этом можно определить три показателя колеблемости признака в совокупности:
1. Общую вариацию совокупности, которая является результатом действия всех причин. Эта вариация может быть измерена общей дисперсией (
), характеризующей отклонения индивидуальных значений признака совокупности от общей средней
| (6.13) |
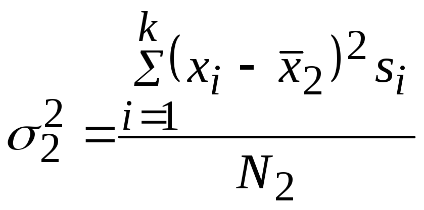
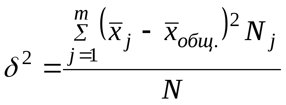
2. Вариацию групповых средних, выражающих отклонения групповых средних от общей средней и отражающих влияние того фактора, по которому произведена группировка. Эта вариация может быть измерена так называемой межгрупповой дисперсией (δ2)
| (6.14) |
где
— групповые средние, а
-общая средняя для всей совокупности, и
— численность отдельных групп.
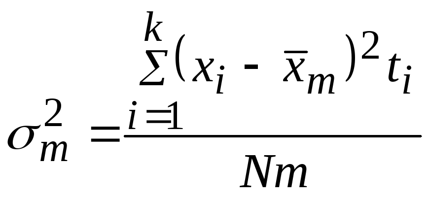
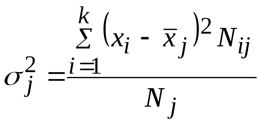
3. Остаточную (или внутригрупповую) вариацию, которая выражается в отклонении отдельных значений признака в каждой группе от их групповой средней и, следовательно, отражает влияние всех прочих факторов кроме положенного в основу группировки. Поскольку вариацию в каждой группе отражает групповая дисперсия
| (6.15) |
то для всей совокупности остаточную вариацию будет отражать средняя из групповых дисперсий. Эту дисперсию называют средней из внутригрупповых дисперсий (
) и рассчитывается она по формуле
| (6.16) |
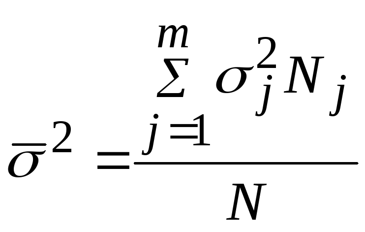
Общая вариация признака в совокупности должна определяться как сумма вариации групповых средних (за счет одного выделенного фактора) и остаточной вариации (за счет остальных факторов). Это равенство находит свое выражение в сложении дисперсий
| (6.17) |
Это равенство, имеющее строго математическое доказательство, известно, как правило сложения дисперсий.
Правило сложения дисперсий позволяет находить общую дисперсию по её компонентам, когда индивидуальные значения признака неизвестны, а в распоряжении имеются только групповые показатели.
Коэффициент детерминации. Правило сложения дисперсии позволяет выявить зависимость результатов от определенных факторов при помощи коэффициента детерминации.
| (6.18) |
Этот коэффициент показывает долю (удельный вес) общей вариации изучаемого признака, обусловленную вариацией группировочного признака.
Корень квадратный из коэффициента детерминации носит название корреляционного отношения (
):
| (6.19) |
Оно характеризует влияние признака, положенного в основание группировки, на вариацию результативного признака. Корреляционное отношение изменяется в пределах от 0 до 1. Если
, то группировочный признак не оказывает влияния на результативный. Если
, то результативный признак изменяется только в зависимости от признака, положенного в основание группировки, а влияние прочих факторных признаков равно нулю.
Показатели асимметрии и эксцесса. В области экономических явлений строго симметричные ряды встречаются крайне редко, чаще приходится иметь дело с асимметричными рядами.
В статистике для характеристики асимметрии пользуются несколькими показателями. Если учесть, что в симметричном ряду средняя арифметическая совпадает по значению с модой и медианой, то наиболее простым показателем асимметрии (
) будет разность между средней арифметической и модой, т.е.
=
.
Если (
)>0, то на графике такой ряд будет иметь вытянутость вправо (правосторонняя асимметрия).
Если (
)<0, то на графике такой ряд будет иметь вытянутость влево (левосторонняя асимметрия).
Для сравнения асимметрии в нескольких рядах используют относительный показатель, полученный путем деления величины (
) на среднее квадратическое отклонение, т.е.
Аs = | (6.20) |
Еще один показатель рассчитывается в вариационных рядах для характеристики крутости распределения. Это показатель эксцесса (
). При одной и той же средней арифметической эмпирический ряд может быть островершинным или низковершинным по сравнению с кривой нормального распределения.
Величину эксцесса рассчитывают по формуле
| (6.21) |
Центральный момент четвертого порядка рассчитывается по формуле
| (6.22) |
Если
>0, то эксцесс считают положительным (распределение островершинно), если
<0, то эксцесс считается отрицательным (распределение низковершинно).
Внимание!
Если вам нужна помощь в написании работы, то рекомендуем обратиться к профессионалам. Более 70 000 авторов готовы помочь вам прямо сейчас. Бесплатные корректировки и доработки. Узнайте стоимость своей работы.
Коэффициент вариации Википедия
Не путать с коэффициентом детерминации.
В теории вероятности и статистике, коэффициент вариации, также известный как относительное стандартное отклонение, это стандартная мера дисперсии распределения вероятностей или частотного распределения. Она часто выражается в процентах и определяется как отношение стандартного отклонения σ к среднему μ. КВ или СОО широко используются в аналитической химии для выражения точности и повторяемости анализа. Они также часто применяются в инженерии и физике, при проведении исследований по обеспечению качества. Кроме того, КВ используется экономистами и инвесторами в экономических моделях.
Определение[ | ]
Коэффициент вариации определяется как отношение стандартного отклонения σ к среднему μ: cv = σ μ {\displaystyle {\frac {\sigma }{\mu }}} [1]. Он показывает степень изменчивости по отношению к среднему показателю выборки. Коэффициент вариации следует вычислять только для данных, измеренных на шкале отношений, то есть шкал, которые имеют значимый нуль и, следовательно, допускают относительное сравнение двух измерений. Коэффициент вариации может не иметь никакого значения для данных интервальной шкалы. Например, большинство температурных шкал (например, Цельсий, Фаренгейт и т. д.) являются интервальными шкалами с произвольными нулями, поэтому вычисленный коэффициент вариации будет отличаться в зависимости от используемой шкалы. С другой стороны, температура Кельвина имеет значимый нуль, полное отсутствие тепловой энергии, и, таким образом, является шкалой отношения. Говоря простым языком, имеет смысл сказать, что 20 кельвинов в два раза горячее, чем 10 кельвинов, но только в этой шкале с истинным абсолютным нулем. Хотя стандартное отклонение может быть измерено в Кельвинах, градусах Цельсия или Фаренгейта, вычисленное значение применимо только к этой шкале. Только шкала Кельвина может быть использована для вычисления действительного коэффициента вариации.
Измерения, которые распределены логнормально, демонстрируют стационарный КВ; напротив, КОО изменяется в зависимости от ожидаемого значения измерений.
Более надежной возможностью является квартильный коэффициент дисперсии, половина межквартильного диапазона делится на среднее значение квартилей . В большинстве случаев КВ вычисляется для одной независимой переменной (например, для одного фабричного продукта) с многочисленными повторяющимися измерениями зависимой переменной (например, ошибка в производственном процессе). Однако данные, которые являются линейными или даже логарифмически нелинейными и включают непрерывный диапазон для независимой переменной с разреженными измерениями по каждому значению (например, точечная диаграмма), могут поддаваться одиночному вычислению КВ с использованием подхода оценки максимального правдоподобия.
Примеры[ | ]
Набор данных [100, 100, 100] имеет постоянные значения. Его стандартное отклонение равно 0, а среднее-100, что дает коэффициент вариации:
0 / 100 = 0
Набор данных [90, 100, 110] имеет большую вариабельность. Его стандартное отклонение равно 10, а среднее-100, что дает коэффициент вариации:
10 / 100 = 0.1
Набор данных [1, 5, 6, 8, 10, 40, 65, 88] имеет еще большую изменчивость. Его стандартное отклонение составляет 32,9, а среднее-27,9, что дает коэффициент вариации:
32.9 / 27.9 = 1.18
Примеры неправильного использования[
Коэффициент вариации
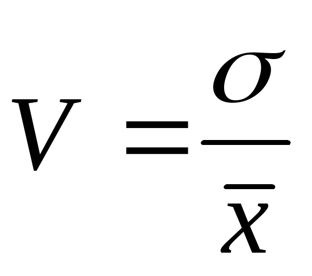
Напомним, что стандартное отклонение — абсолютная мера рассеяния вариантов ряда. В ряде случаев необходима относительная мера рассеяния. Например, при сравнении вариации в нескольких рядах.
Предположим, что стандартное отклонение в выборке валютных счетов в банке «А» и банке «В» равно $20. Данные по банку «А» содержат информацию о счетах, сумма которых находится в пределах $60. В банке «В» данные содержат информацию относительно счетов, сумма которых достигает $1 миллион и больше. В первом случае стандартное отклонение в 20 единиц очень велико относительно сумм счетов. Для суммы порядка $1 миллиона — что значит вариация плюс-минус $20 относительно среднего? Конечно, такая вариация будет каплей в море. Сравнивая эти два случая, можно сказать, что такая абсолютная мера рассеяния как стандартное отклонение не передает существенной информации при сравнении вариационных рядов. Коэффициент вариации создан специально как относительная мера вариации. Обозначается коэффициент вариации — V, он позволяет представить дисперсию как долю от среднего арифметического значения:
(5)
Можно выразить вариацию в процентах. Для этого необходимо умножить значение коэффициента вариации V на 100.
Если в выборке
счетов средняя
,
а стандартное отклонение=20,
то V=/x=20/60
=0.33. С другой
стороны, если средняя сумма счетов
=1000000,
а стандартное отклонение равно 20, то V = /
=20/1 000 000 = 0.00002,
что значительно меньше.
Чем меньше значение коэффициента вариации, тем однороднее совокупность по изучаемому признаку и типичнее средняя.
Использование коэффициента вариации имеет смысл при изучении вариации признака, принимающего только положительные значения. Совершенно неправильно пользоваться V в случае измерения колеблемости признака, принимающего как положительные, так и отрицательные значения. Не имеет смысла, например, V, вычисленный для изучения колеблемости среднегодовой температуры воздуха, что особенно ясно при среднегодовой температуре близкой к нулю
Меры вариации для сгруппированных данных. Правило сложения дисперсий
Вариация признаков, как правило, обусловлена влиянием различных факторов. Если совокупность разбить на группы по факторному признаку, то это окажет определенное влияние на значение вариации признака в группах. Выявить долю вариации, определяемую теми или иными факторами, можно разделяя всю совокупность на группы по фактору, влияние которого исследуется. Чаще всего для этих целей используются показатели вариации для сгруппированных данных. В этом случае выделяют три вида дисперсий: Общую дисперсию; внутригрупповую дисперсию, межгрупповую дисперсию.
Общая дисперсия измеряет вариацию признака во всей совокупности под влиянием всех факторов. Внутригрупповая дисперсия измеряет вариацию признака внутри группы, а межгрупповая дисперсия измеряет вариацию групповых средних относительно общей средней.
Рассмотрим
простейший случай, когда исходная
совокупность делится на
однородных групп по одному признаку-фактору.
Допустим, имеется распределение исходной совокупности, представленное в следующей таблице:
Значение признака | Число | единиц | в | группе | Итого |
1 | 2 | … | m | ||
| | | … | | |
| | | … | | |
… | … | … | … | … | … |
| | | … | | |
Итого | | | … | | |
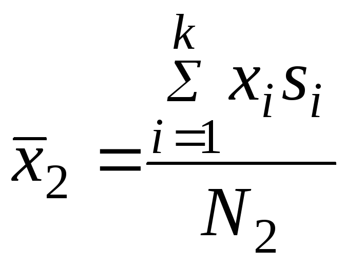
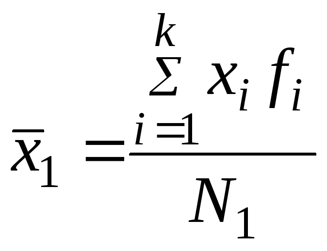
Сначала вычислим
частных средних, то есть среднее значение
признака в каждой группе:
,
,
…
.
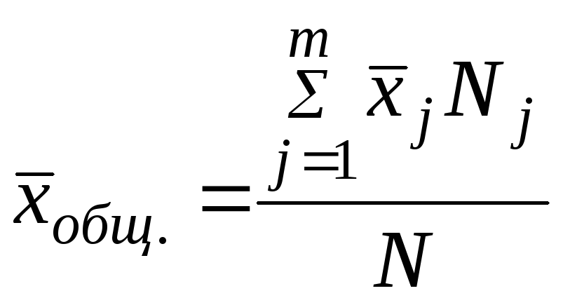
На основе частных
средних
определяем общую среднюю по формуле
,
где
.
Общая дисперсия совокупности

Общая дисперсия отражает вариацию признака за счет всех условий (факторов), действующих в совокупности.
Вариацию между группами за счет признака-фактора, положенного в основу группировки, отражает межгрупповая дисперсия, которая исчисляется как отклонение групповой средней от общей средней:
.
Вариацию внутри
каждой группы изучаемой совокупности
отражает частная (внутригрупповая)
групповая дисперсия, которая исчисляется
как средний квадрат отклонений значений
признака
от частной средней

…….

В общем виде частную дисперсию запишем так:

где
—
частоты от
в каждой
группе.
Так как изучаемая совокупность разбита на несколько групп, то для всей совокупности внутригрупповую вариацию будет выражать внутригрупповая дисперсия, которая рассчитывается как средняя арифметическая из групповых дисперсий:

Существует закон, связывающий три вида дисперсии:
1.7. Коэффициент вариации
Вариация — различие значений какого-либо признака у разных единиц совокупности за один и тот же промежуток времени.
Причиной возникновения вариации являются различные условия существования разных единиц совокупности. Вариация — необходимое условие существования и развития массовых явлений.Определение вариации необходимо при организации выборочного наблюдения, статистическом моделировании и планировании экспертных опросов. По степени вариации можно судить об однородности совокупности, устойчивости значений признака, типичности средней, о взаимосвязи между какими-либо признаками.
Коэффициент вариации (Cv) определяет изменчивость вариационного ряда в процентах и дает возможность судить о качественной однородности изучаемой совокупности.
Коэффициент вариации является относительной мерой разнообразия, так как исчисляется как процентное отношение среднеквадратического отклонения (σ) к средней арифметической величине (M).
Формула коэффициента вариации выглядит следующим образом:
Cv=
* 100 %
Для ориентировочной оценки степени разнообразия признака пользуются следующими градациями коэффициента вариации. Если коэффициент составляет более 20 %, то отмечают сильное разнообразие; при 20-10 % — среднее, и если коэффициент менее 10 %, то считают, что разнообразие слабое.
Коэффициент вариации применяют при сравнении степени разнообразия признаков, имеющих различия в величине признаков или неодинаковую их размерность.
Глава 2
ОЦЕНКА ДОСТОВЕРНОСТИ РЕЗУЛЬТАТОВ ИССЛЕДОВАНИЯ
2.1. Достоверность. Критерии понятия достоверности.
При изучении генеральной (сплошной) совокупности для ее количественной характеристики достаточно расчитать Mиσ.Однако на практике, как правило, исследование проводят на выборочной совокупности, которая должна быть репрезентативно (достоверна) или представительна для генеральной совокупности. Репрезентативность выборочной совокупности оценивают специальными методами отбора, она означает представительность в ней всех учитываемых признаков генеральной совокупности.
Под достоверностью статистических показателей следует понимать степень их соответствия отображаемой ими действительности. Достоверными результатами считаются те, которые не искажают и правильно отражают объективную реальность.
Оценить достоверность результатов исследования означает определить, с какой вероятностью возможно перенести результаты, полученные на выборочной совокупности, на всю генеральную совокупность.
В большинстве медицинских исследований врачу приходится, как правило, иметь дело с частью изучаемого явления, а выводы по результатам такого исследования переносить на все явление в целом – на генеральную совокупность.
Таким образом оценка достоверности необходима для того, чтобы по части явления должно было бы судить о явлений в целом, о его закономерности.
Оценка достоверности результатов исследования предусматривает вычмсление:
Ошибок репрезентативности (средней ошибки mдля среднихMили относительныхPвеличин;
Доверительных границ средних (M)или относительных(P)величин;
Достоверности разности средних (M)или относительных(P)величин по критериюt.
Достоверности различия сравниваемых групп по критерию X2(хи-квадрат).
Определение средней ошибки средней (или относительной) величины (ошибки репрезентативности) – m.
Ошибка репрезентативности (m) является важнейшей статистической величиной, необходимой для оценки достоверности результатов исследования. Это ошибка возникает в тех случаях, когда требуется по части охарактеризовать явление в целом. Эти ошибки неизбены. Они проистекают из сущности выборочного исследования; генеральная совокупность может быть охарактеризована по выборочной совокупности только с некоторой погрешностью, измеряемой ошибкой репрезентативности.
Ошибки репрезентативности нельзя смешивать с обычным представлением об ошибках: методических, точности измерения, арифметических и др.
По величине ошибки репрезентативности определяют, насколько результаты, полученные при выборочном наблюдении, отличаются от результатов, которые могли бы быть получены при проведении сплошного исследования всех без исключения элементов генеральной совокупности .
Ошибки репрезентативности можно свести к достаточно малой величине, т.е. к величине допустимой погрешности. Делается это путем привлечения в выборку достаточного количества наблюдений (n).
Каждая средняя величина – M(средняя длительность лечения, средний рост, средняя масса тела, средний уровень белка крови и др.), а также каждая относительная величина –P(уровень летальности, заболеваемости, и др.) должны быть представлены со своей средней ошибкой —m. Так, средняя арифметическая величина выборочной совокупности(M)имеет ошибку репрезентативности, которая называется средней ошибкой средней арифметической(mM)и определяется по формуле:
при n
30mM =
,
при
n
30mM =
,
где mM– ошибка средней величины;
σ– среднее квадратическое отклонение;
n– число наблюдений.
Из данной формулы следует, что величина средней ошибки средней арифметической прямо пропорциональна степени разнообразия признака и обратно пропорциональна степени корню квадратному из числа наблюдений.Следовательно, уменьшение величины этой ошибки при определении степени разнообразия (σ) возможно путем увеличения числа наблюдений.
На этом принципе основан метод определения достаточного числа наблюдений для выборочного исследования.
Относительные величины (P), полученные при выборочном исследовании, также имеют свою ошибку репрезентативности, которая называется средней ошибкой относительной величины и обозначаетсяmP.
Для определения средней ошибки относительной величины (P) используется следующая формула:
mP=
где P– относительная величина. Если показатель выражен в процентах, тоq= 100-P, еслиPв промиллях, тоq= 1000-P, еслиP– в продецимиллях, тоq= 10000-P,и т.д.;n– число наблюдений. При числе наблюдений менее 30 в знаменатель следует взятьn-1.
mP =
Определение доверительных границ M и P.
Определяя для средней арифметической или (относительной ) величины два крайних значения: минимально возможное и максимально возможное, находят пределы, в которых может быть искомая величина генерального параметра. Эти пределы называют доверительными границами.
Доверительные границы средней арифметической в генеральной совокупности определяют по формуле:
Mген. =Mвыб.
tmM,
где Mген. –средняя величина признака в генеральной совокупности,
Mиыб.-средняя величина, полученная в результате исследованиявыборочной совокупности
mM — средняя ошибка,
t— доверительный коэффициент – величина, на которую нужно умножитьmдля того, чтобы с определенной вероятностью безошибочного прогноза (p) получить границы колебаний средней величины в генеральной совокупности;
tmM=
— доверительный интервал (или
максимальная ошибка).
Доверительные границы относительной величины в генеральной совокупности определяют по следующей формуле:
Pген. =Pвыб.
tmp,
гдеPген. –показатель в генеральной совокупности,
Pиыб.-средняя величина,показатель, полученный в результате исследования выборочнойсовокупности,
mp — средняя ошибка,
t- доверительный коэффициент,
tmp
— доверительный интервал (или максимальная
ошибка)/
Понятие «вероятность безошибочного
прогноза» (P) – это
вероятность, с которой можно утверждать,
что в генеральной совокупностиMбудет
находиться в пределахM
tmM(илиP–в пределахP
tmP).
Если n
30 приP= 95 % иP= 99 %, критерийtнаходится
по таблице Стьюдента (табл. 8). Еслиn
30 приP= 95 %t=
2, приP= 99 %t= 3.
Для абсолютного большинства медицинских исследований степень вероятности безошибочного прогноза (P) должна быть не менее 95 %.
Таблица 8
Тема Показатели вариации
План
1 Понятие вариации и ее значение
2 Показатели центра распределения и структурные характеристики вариационного ряда
3 Показатели размера и интенсивности вариации
4 Вариация альтернативного признака
5 Виды дисперсий и правило их сложения
6 Асимметрия распределения и эксцесс
1 Понятие вариации и её значение
Средние величины дают обобщающую характеристику совокупности по варьирующим признакам, показывают типичный для данных условий уровень их признаков. Но, наряду со средними величинами большое значение имеет изучение отклонений от средних, т. е. вариация.
Колеблемость, изменяемость величины признака у единиц совокупности называется вариацией.
Статистический анализ вариации предполагает выполнение следующих этапов:
Построение вариационного ряда
Графическое изображение вариационного ряда
Определение показателей центра распределения и структурных характеристик вариационного ряда
Расчет показателей размера и интенсивности вариации (степени вариации)
Оценка вариационного ряда на асимметрию и эксцесс (показателей формы распределения)
По степени вариации можно судить об:
однородности совокупности,
типичности средней,
взаимосвязи между признаками.
Статистические показатели, характеризующие вариацию, широко применяются в практической деятельности.
Для количественной оценки степени колеблемости признака общая теория статистики опирается на такие показатели как:
размах
вариации(R),
среднее линейное отклонение(
),
квартильное отклонение Q, дисперсия (δ2), среднее
квадратическое отклонение (δ) ,
коэффициент вариации, коэффициент
осцилляции, линейный коэффициент
вариации, относительный показатель
квартильной вариации.
Для характеристики среднего значения признака в вариационном ряду используются так называемые показатели центра распределения. К ним относятся средняя величина признака, мода и медиана.
По соотношению характеристик
центра распределения (средней величины,
моды и медианы) можно судить о симметричности
эмпирического ряда распределения.
Симметричным является распределение,
в котором частоты двух вариантов,
равностоящих в обе стороны от центра
распределения, равны между собой. В
симметричном распределении средняя
величина, медиана и мода равны между
собой: 
Если
,
то имеет место правосторонняя асимметрия,
т.е. большая часть единиц совокупности
имеет значение изучаемого признака, превышающие
модальное значение. На графике распределения
правая ветвь относительно максимальной
ординаты вытянута больше, чем левая.
Соотношение
характерно для левосторонней асимметрии,
при которой большая часть единиц
совокупности имеет значения признака ниже
модального.
На графике распределения левая ветвь
вытянута больше, чем правая.
Моду и медиану называют еще структурными средними, поскольку они дают количественную характеристику структуры строения вариационных рядов.
К структурным характеристикам относятся и другие порядковые статистики: квартили — делящие ряд на 4 равные части, децили – делящие ряд на 10 частей, перцинтили – на 100 равных частей.
Определение показателей децилей, нашедших широкое применение в анализе дифференциации различных социально – экономических явлений.
.
Соотношение
децильных доходов в социальной статистике
получило название коэффициента
децильной дифференциации доходов населения (Кр):
,
Это означает, что минимальный среднедушевой доход 10% наиболее обеспеченного населения превышал максимальный доход 10% наименее обеспеченного населения в…….раз.
Показатели размера и интенсивности вариации
Показатели вариации делятся на две группы: абсолютные и относительные.
К абсолютным относятся размах вариации (R),
среднее линейное отклонение (
),
дисперсия (δ2),
среднее квадратическое отклонение (δ),
квартильное отклонение Q.
Относительными показателями вариации являются коэффициент осцилляции, вариации, относительное линейное отклонение, относительный показатель квартильной вариации и др. Они вычисляются как отношение абсолютных показателей вариации к средней арифметической или медиане.
Самым простым абсолютным показателем является размах вариации. Его исчисляют как разность между наибольшим и наименьшим значениями варьирующего признака.

Величина R всецело зависит от крайних значений признака, и он не учитывает всех изменений варьирующего признака в пределах совокупности
Более точно характеризуют вариацию признака показатели, основанные на учете колеблемости всех значений признака, — среднее линейное отклонение (d) и среднее квадратическое отклонение (δ).
Распределение
отклонений можно уловить, исчислив
отклонения всех вариант
от средней.
Отклонение от средней — это разность
между вариантой (х) и средней арифметической
(
)
в данной совокупности.
Чтобы исчислить среднее арифметическое из отклонений нужно применить формулу средней арифметической:
а)
простую
;
б) взвешенную
.
—
среднее арифметическое или среднее
линейное отклонение,
дает абсолютную
меру вариации.
Среднее
арифметическое отклонение как мера
вариации применяется редко. Чаще
отклонения от средней возводят в квадрат
и из квадратов исчисляют среднюю
величину. Эта мера вариации называется дисперсией (
—
средний квадрат отклонений), а корень
квадратный из
—
—
есть среднее
квадратическое отклонение.
Чтобы
вычислить среднее квадратическое
отклонение нужно найти отклонение
каждой варианты от средней (
),
затем возвести отклонения в квадрат,
умножить каждый квадрат отклонения на
свою частоту и просуммировать. Полученную
сумму разделить на сумму частот.
=
Корень квадратный из этой величины и будет среднее квадратическое отклонение.
=
Помимо абсолютных величин представляют интерес и относительные
величины. Для оценки
интенсивности вариации,
а так же для
сравнения ее величины в разных
совокупностях или по разным признакам используют относительные показатели
вариации. Базой
для сравнения является средняя
арифметическая (
).
Они вычисляются как отношение R,
(среднее
линейное отклонение) и
(среднее
квадратическое отклонение) к
или медиане. Выражаются
в %; дают оценку вариации и характеризуют
однородность совокупности.
Различают следующие относительные показатели вариации:
коэффициент осцилляции
=
линейный коэффициент вариации
=
коэффициент вариации
=
коэффициент квартильной вариации
; 
14. Структурные средние.
К наиболее часто используемым структурным средним относятся статистическая мода и статистическая медиана.
Статистическая мода— это наиболее часто повторяющееся значение величины X в статистической совокупности.
Если X задан дискретно, то мода определяется без вычисления как значение признака с наибольшей частотой. В статистической совокупности бывает 2 и более моды, тогда она считается бимодальной (если моды две) или мультимодальной (если мод более двух), и это свидетельствует о неоднородности совокупности.
Статистическая медиана– это значение величины X, которое делит упорядоченную по возрастанию или убыванию статистическую совокупность на 2 равных по численности части. В итоге у одной половины значение больше медианы, а у другой — меньше медианы.
15. Вариация как неотъемлемая особенность совокупностей.
Вариация— это различие значений величин X у отдельных единиц статистической совокупности.Для изучения силы вариации рассчитывают следующие показатели вариации: размах вариации, среднее линейное отклонение, линейный коэффициент вариации, дисперсия, среднее квадратическое отклонение, квадратический коэффициент вариации.
Размах вариации– это разность между максимальным и минимальным значениями X из имеющихся в изучаемой статистической совокупности.
Cреднее линейное отклонение— это средний модуль отклонений значений X от среднего арифметического значения. Его можно рассчитывать по формуле средней арифметической простой — получим среднее линейное отклонение простое.
Линейный коэффицинт вариации— это отношение среднего линейного отклонение к средней арифместической.
Дисперсия— это средний квадрат отклонений значений X от среднего арифместического значения. Дисперсию можно рассчитывать по формуле средней арифметической простой — получим дисперсию простую.
Формуле средней квадратическойприменяется для оценки вариации путем расчета среднего квадратического отклонения, обозначаемое малой греческой буквой сигма.
Квадратический коэффициент вариации — это самый популярный относительный показатель вариации.
16. Показатели размера вариации: размах, среднее линейное отклонение, дисперсия и среднее квадратическое отклонение, коэффициент вариации.
Вариация— это различия индивидуальных значений признака у единиц изучаемой совокупности. Исследование вариации имеет большое практическое значение и является необходимым звеном в экономическом анализе. Необходимость изучения вариации связана с тем, что средняя, являясь равнодействующей, выполняет свою основную задачу с разной степенью точности: чем меньше различия индивидуальных значений признака, подлежащих осреднению, тем однороднее совокупность, а, следовательно, точнее и надежнее средняя, и наоборот. Следовательно по степени вариации можно судить о границах вариации признака, однородности совокупности по данному признаку, типичности средней, взаимосвязи факторов, определяющих вариацию.
Изменение вариации признака в совокупности осуществляется с помощью абсолютных и относительных показателей.
Абсолютные показатели вариации включают:
размах вариации
среднее линейное отклонение
дисперсию
среднее квадратическое отклонение
Размах вариации— это разность между максимальным и минимальным значениями признака.
Он показывает пределы, в которых изменяется величина признака в изучаемой совокупности.
Среднее линейное отклонение— это средняя арифметическая из абсолютных отклонений отдельных значений признака от средней.
Наиболее совершенной характеристикой вариации является среднее квадратическое откложение, которое называют стандартом (или стандартным отклонение). Среднее квадратическое отклонение равно квадратному корню из среднего квадрата отклонений отдельных значений признака от средней арифметической.
Дисперсия— представляет собой средний квадрат отклонений индивидуальных значений признака от их средней величины.
Коэффициент вариациииспользуют для сравнения рассеивания двух и более признаков, имеющих различные единицы измерения. Коэффициент вариации представляет собой относительную меру рассеивания, выраженную в процентах.
2.7. Коэффициенты вариации
Вариация — это несовпадение значений одной и той же статистической величины у разных объектов в силу особенностей их собственного развития, а также различия условий, в которых они находятся. Вариация имеет объективный характер и помогает познать сущность изучаемого явления. Если средняя величина сглаживает индивидуальные различия, то вариация, наоборот, их подчеркивает, устанавливая типичность или не типичность найденной средней величины для конкретной статистической совокупности. Тем самым можно делать вывод о качественности подобранных статистических данных.
Вариация измеряется с помощью относительных величин, называемых коэффициентами вариации и определяемых в виде отношения среднего отклонения к средней величине.
Поскольку среднее отклонение может определяться линейным и квадратическим способами, то соответствующими могут быть и коэффициенты вариации. Следовательно, коэффициенты вариации надо определять по формулам
– линейный; (1.28)
– квадратический. (1.29)
Значения коэффициента вариации изменяются от 0 до 1 и чем ближе он к нулю, тем типичнее найденная средняя величина для изучаемой статистической совокупности, а значит и качественнее подобраны статистические данные. При этом критериальным значением коэффициента вариации служит 1/3.
То есть средняя величина
считается типичной для данной совокупности
при λ
0,333 или приν
0,333. В ином случае средняя
величина не типична и требуется
пересмотреть статистическую совокупность
с целью включения в нее более объективных
статистических величин.
Обычно квадратический
коэффициент вариации несколько (примерно
на 25%) больше линейного, рассчитанные
по одним и тем же данным. А значит возможен
случай, когда λ
0,333 и ν
0,333, тогда необходимо
взять среднюю из этих коэффициентов и
по ее значению сделать окончательный
вывод о не/типичности найденной средней
величины.
С помощью линейного коэффициента вариации принципиальный вывод о типичности или не типичности средней величины можно получить проще и быстрее, чем с помощью квадратического. Однако квадратический коэффициент применяется чаще, так как существует несколько способов для вычисления дисперсии.
У такого способа оценки
вариации есть и существенный недостаток.
Действительно, пусть, например, исходная
совокупность рабочих, имеющих средний
стаж 15 лет, со стандартным отклонением σ = 10 лет, «состарилась» еще на 15 лет.
Теперь
=
30 лет, а стандартное отклонение по-прежнему
равно 10. Совокупность, ранее бывшая
неоднородной (10/15*100=
66,7%), со временем оказывается, таким
образом, вполне однородной (10/30*100 = 33,3
%).
Поэтому возможен дополнительный анализ статистической совокупности с помощью коэффициента осцилляции, определяемого по формуле
, (1.30)
где R — размах вариации в виде разности наибольшего и наименьшего значений в совокупности статистических величин. То есть
R = Хмах –Хmin, (1.31)
где Xмax и Xmin — максимальное и минимальное значения в совокупности.
При упорядочении статистических величин в совокупности образуются группировочные интервалы. Тогда под обозначением ∆Х понимается размах интервала, а среднее интервальное значение обозначается ХИ.
В случае ориентировки только на квадратический коэффициент вариации могут применяться разные методы определения дисперсии.
Что такое коэффициент вариации?
FAQ: Что такое коэффициент вариации?Ситуации и определения
Коэффициент вариации (CV) можно рассчитать и интерпретировать двумя способами. разные настройки: анализ одной переменной и интерпретация модели. Стандартная формулировка CV, отношение стандартного отклонения к означает, применяется при настройке одной переменной. В настройках моделирования CV рассчитывается как отношение среднеквадратичной ошибки (RMSE) к среднему значению зависимая переменная.В обеих настройках резюме часто представляется как заданное соотношение, умноженное на 100. CV для одной переменной нацелен на описание дисперсии переменной таким образом, чтобы она не зависела от единицы измерения переменной. Чем выше CV, тем больше разброс переменной. Резюме для модели призвано описать соответствие модели с точки зрения относительных размеров квадратов остатков и значений результатов. Чем ниже CV, тем меньше остатки относительно прогнозируемого значения. Это наводит на мысль о хорошей подгонке модели.
CV переменной можно легко вычислить, используя информацию из типичная сводка переменных (иногда резюме по умолчанию возвращается в сводка переменных). Ниже мы продемонстрируем, как рассчитать CV в Stata.
используйте https://stats.idre.ucla.edu/stat/stata/notes/hsb1, очистите
суммировать математику
Переменная | Obs Mean Std. Девиация Мин Макс
------------- + ------------------------------------ --------------------
математика | 200 52.645 9,368448 33 75
di 100 * r (sd) / r (среднее)
17.795513 CV модели можно рассчитать аналогичным образом, если она не включена в модель. вывод.
математика регресса socst
Источник | SS df MS Количество набл. = 200
------------- + ------------------------------ F (1, 198) = 83,43
Модель | 5177.88866 1 5177.88866 Вероятность> F = 0.0000
Остаточный | 12287.9063 198 62.060133 R-квадрат = 0,2965
------------- + ------------------------------ Скорректированный R-квадрат = 0,2929
Итого | 17465,795 199 87,7678141 Корневой MSE = 7,8778
-------------------------------------------------- ----------------------------
математика | Коэф. Std. Err. t P> | t | [95% конф. Интервал]
------------- + ------------------------------------ ----------------------------
socst | ,4751335 .052017 9,13 0,000 .372555 .577712
_cons | 27,74563 2,782287 9,97 0,000 22,25891 33,23235
-------------------------------------------------- ----------------------------
спокойно обобщить математику
di 100 * e (среднеквадратичное отклонение) / r (среднее значение)
14.964052 Преимущества
Преимущество CV в том, что оно безразмерно. Это позволяет по сравнению друг с другом способами, которые измеряются другими, например стандартными отклонениями или среднеквадратичных остатков, не может быть.
В настройке переменной CV: Стандартные отклонения двух переменные, хотя обе измеряют дисперсию своих соответствующих переменных, не могут сравнивать друг с другом осмысленным образом, чтобы определить, какая переменная большая дисперсия, потому что они могут сильно различаться по своим единицам и средствам о которых они происходят. Стандартное отклонение и среднее значение переменные выражаются в одних и тех же единицах, поэтому, принимая соотношение этих двух позволяет юнитам отменить.Затем это соотношение можно сравнить с другими подобными отношений значимым образом: между двумя переменными (которые соответствуют допущениям показано ниже), переменная с меньшим CV менее рассредоточена, чем переменная с большим CV.
В настройке CV модели: Точно так же RMSE двух моделей измеряет величина остатков, но они не могут сравнивать друг с другом осмысленным образом, чтобы определить, какая модель обеспечивает лучшие предсказания исхода.Модель RMSE и среднее прогнозируемое переменные выражаются в одних и тех же единицах, поэтому, принимая соотношение этих двух позволяет юнитам отменить. Затем это соотношение можно сравнить с другими подобными отношения значимым образом: между двумя моделями (где переменная результата встречается предположения, изложенные ниже), модель с меньшим CV предсказала значения, которые ближе к фактическим значениям. Интересно отметить различия между CV модели и значениями R-квадрат. Оба безразмерные меры, которые указывают на соответствие модели, но они определяют соответствие модели в двух разными способами: CV оценивает относительную близость прогнозов к фактические значения, в то время как R-квадрат оценивает, насколько вариативность фактические значения объясняются моделью.
Требования и недостатки
Есть некоторые требования, которые должны быть выполнены, чтобы резюме было интерпретируется описанным нами образом. Возникает самая очевидная проблема когда среднее значение переменной равно нулю. В этом случае резюме не может быть рассчитывается. Даже если среднее значение переменной не равно нулю, но переменная содержит как положительные, так и отрицательные значения, а среднее значение близко к нулю, тогда резюме может вводить в заблуждение. CV переменной или CV прогноза модель для переменной можно рассматривать как разумную меру, если переменная содержит только положительные значения.Это явный недостаток резюме.
,Коэффициент стандартного отклонения
Стандартное отклонение — это абсолютная мера дисперсии. Его относительная мера называется стандартным коэффициентом дисперсии или коэффициентом стандартного отклонения. Это определяется как:
\ [{\ text {Coefficient}} \, {\ text {of}} \, {\ text {Standard}} \, {\ text {Deviation}} = \ frac {S} {{\ overline X}} \]
Коэффициент вариации
Самым важным из всех относительных показателей дисперсии является коэффициент вариации.Это слово — вариация, а не вариация. Не существует такого понятия, как коэффициент дисперсии. Коэффициент вариации $$ \ left ({CV} \ right) $$ определяется как:
\ [\ left ({CV} \ right) = \ frac {S} {{\ overline X}} \ times 100 \ ]
Таким образом, $$ C.V $$ — это значение $$ S $$, когда $$ \ overline X $$ предполагается равным 100. Это чистое число, и единица наблюдения не упоминается вместе с его значением. Он записывается в процентной форме, например, 20% или 25%. Когда его значение составляет 20%, это означает, что, когда среднее значение наблюдений принято равным 100, их стандартное отклонение будет 20.$$ C.V $$ используется для сравнения разброса в различных наборах данных, особенно данных, которые различаются по своим средним значениям или различаются по своим единицам измерения. Заработная плата рабочих может быть в долларах, а потребление мяса в семьях может быть в килограммах. Стандартное отклонение заработной платы в долларах нельзя сравнивать со стандартным отклонением количества мяса в килограммах. Оба стандартных отклонения необходимо преобразовать в коэффициент вариации для сравнения. Предположим, значение $$ C.V $$ для заработной платы составляет 10%, а значение $$ C.V $$ для килограммов мяса составляет 25%. Это означает, что заработная плата рабочих стабильна. Их заработная плата близка к общей средней заработной плате. Но в семьях мясо потребляют совсем в другом количестве. Некоторые семьи потребляют очень небольшое количество мяса, а другие — в больших количествах. Мы говорим, что существует большая разница в потреблении мяса. Наблюдения за количеством мяса более разрозненные или более вариативные.2}}} {n}} $$
$$ S = \ sqrt {\ frac {{70}} {6}} = \ sqrt {\ frac {{35}} {3}} = 3,42 $$
Коэффициент стандартного отклонения $$ = \ frac {S} {{\ overline X}} = \ frac {{3.42}} {7} = 0,49 $$
Коэффициент вариации \ [\ left ({CV} \ right ) = \ frac {S} {{\ overline X}} \ times 100 = \ frac {{3.42}} {7} \ times 100 = 48.86 \% \]
Пример :
Рассчитайте коэффициент стандартного отклонения и коэффициент вариации из следующего распределения оценок:
Марки | №Студентов |
$$ 1–3 $$ | $$ 40 $$ |
$$ 3 — 5 $$ | $$ 30 $$ |
$$ 5 — 7 $$ | $$ 20 $$ |
$$ 7 — 9 $$ | $$ 10 $$ |
Решение :
Марки | $$ f $$ | $$ X $$ | $$ fX $$ | $$ {\ left ({X — \ overline X} \ right) ^ 2} $$ | $$ f {\ left ({X — \ overline X} \ right) ^ 2} $$ |
$$ 1–3 $$ | $$ 40 $$ | $$ 2 $$ | $$ 80 $$ | $$ 4 $$ | $$ 160 $$ |
$$ 3 — 5 $$ | $$ 30 $$ | $$ 4 $$ | $$ 120 $$ | $$ 0 $$ | $$ 0 $$ |
$$ 5 — 7 $$ | $$ 20 $$ | $$ 6 $$ | $$ 120 $$ | $$ 4 $$ | $$ 80 $$ |
$$ 7 — 9 $$ | $$ 10 $$ | $$ 8 $$ | $$ 80 $$ | $$ 16 $$ | $$ 160 $$ |
Итого | $$ 100 $$ |
| $$ 400 $$ |
| $$ 400 $$ |
$$ \ overline X = \ frac {{\ sum fX}} {{\ sum f}} = \ frac {{400}} {{100}} = 4 $$
$$ S = \ sqrt {\ frac {{\ sum f {{\ left ({X — \ overline X} \ right)} ^ 2}}} {{\ sum f}}} = \ sqrt {\ frac {{400}} {{100}} } = \ sqrt 4 = 2 отметки $$
Коэффициент стандартного отклонения $$ = \ frac {S} {{\ overline X}} = \ frac {2} {4} = 0.5 $$
Коэффициент вариации \ [\ left ({C.V} \ right) = \ frac {S} {{\ overline X}} \ times 100 = \ frac {2} {4} \ times 100 = 50 \% \]
,Коэффициент вариации | Определение | Формула
Home Finance Риск и доход Коэффициент вариацииКоэффициент вариации — это мера, используемая для оценки общего риска на единицу дохода от инвестиции. Он рассчитывается путем деления стандартного отклонения инвестиций на ожидаемую доходность.
Поскольку большинство инвесторов не склонны к риску, они хотят минимизировать свой риск на единицу прибыли.Коэффициент вариации обеспечивает стандартизированную меру сравнения риска и доходности различных инвестиций. Рациональный инвестор выберет вложение с наименьшим коэффициентом вариации.
Коэффициент Шарпа — это аналогичная статистика, которая измеряет избыточную доходность на единицу риска.
Формула
$$ \ text {Коэффициент вариации} \\ = \ frac {\ text {Стандартное отклонение инвестиций}} {\ text {Ожидаемая доходность инвестиций}} $$
Пример
Indus Farms — это семейное предприятие, занимающееся возделыванием земли площадью в сто квадратных километров.Сезон начинается, и Акбар, глава семьи, должен принять важное решение: выращивать сахарный тростник или хлопок. Он поручил своему старшему сыну Аднану собрать некоторые данные об ожидаемой доходности каждого урожая при различных сценариях и о вариациях этих доходностей.
Аднан оценивает, что при достаточном количестве дождей (вероятность 0,7) доходность от сахарного тростника может достигать 25%. Однако в случае слабого дождя доходность может составлять всего 5%. По его оценкам, стандартное отклонение рентабельности урожая сахарного тростника составляет 14%.В случае достаточного количества дождей доходность хлопка может составлять только 12%, но в случае слабого дождя доходность может составлять 20%. Стандартное отклонение доходности от хлопка ожидается на уровне 9%. С точки зрения риска и доходности, какая культура лучше для Акбара?
Ожидаемая доходность сахарного тростника = 0,7 × 25% + 0,3 × 5% = 19%
$$ \ text {Коэффициент вариации выращивания сахарного тростника} \\ = \ frac {\ text {Стандартное отклонение для сахарного тростника}} {\ text {Ожидаемая доходность для сахарного тростника}} \\ = \ frac {\ text { 16%}} {\ text {19%}} \\ = \ text {0.74} $$
Ожидаемая доходность хлопка = 0,7 × 12% + 0,3 × 20% = 14,4%
$$ \ text {Коэффициент вариации выращивания хлопка} \\ = \ frac {\ text {Стандартное отклонение для хлопка}} {\ text {Ожидаемая доходность для хлопка}} \\ = \ frac {\ text {9%} } {\ text {14.4%}} \\ = \ text {0.625} $$
Поскольку выращивание хлопка имеет более низкий коэффициент вариации, оно предлагает меньший риск на единицу прибыли. Акбар должен предпочесть хлопок сахарному тростнику.
, Обайдулла Ян, ACA, CFA, последнее изменение:
Учиться по программе CFA ® ? Заметки и банк вопросов для CFA ® Level 1, созданный мной в AlphaBetaPrep.ком

– для несгруппированных данных;
– для сгруппированных данных.
– для несгруппированных данных,
– для сгруппированных данных.
– для несгруппированных,
– для сгруппированных.
.
.
.
.
,
,
.
.
,
.
.
.
-й


















=
=
=